AfterAcademy Tech
•
03 Mar 2020

Difficulty: Medium
Asked in: Facebook, Google, Amazon
Problem Description
Given a binary tree, you need to compute the length of the diameter of the tree.
The diameter of a binary tree is the length of the longest path between any two nodes in a tree. This path may or may not pass through the root.
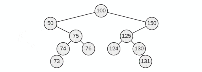
Example:

The node structure passed to your function will be
class TreeNode
{
int data
TreeNode left
TreeNode right
}
You may first try to solve the problem here.
There exist two cases, the diameter of every subtree tree may include the sub-root or may not include the sub-root. The diameter of the sub-tree is certainly the maximum sum of the left height and the right height for a sub-root node.
Let’s calculate the depth of a tree for a root TreeNode. The Maximum Depth of Binary Tree problem has a solution that shows how to do this.
If at a root node (without using parents), the diameter is the maximum of either:
TreeNode)TreeNode)We visit every TreeNode recursively and calculate (1), saving the largest value we've found in max. Since we calculate this value for every TreeNode, we have indirectly calculated (2) and (3) as well. Our solution is the final value for max.
Visualization

Solution Step
Pseudo Code
// Utility function takes root and reference variable ans
int heigtht(TreeNode root, int &ans){
if(root){
int left = this.height(root.left, ans)
int right = this.height(root.right, ans)
ans = max(ans, 1 + l + r)
return 1 + max(l, r)
}
return 0
}
int diameterOfBinaryTree(TreeNode root) {
int ans = 1
height(root, ans)
return ans - 1
}
Complexity Analysis
Time Complexity: O(n), since we must visit each node.
Space Complexity: O(log n), if a balanced tree, O(n) otherwise. Space complexity is due to recursion.
Critical Ideas to Think
The idea is to use post-order traversal which means, make sure the node is there till the left and right child are processed. We can use the peek method in the stack to not pop it off without being done with the left and right child nodes. Then for each node calculate the max of the left and right subtrees depth and also simultaneously calculate the overall max of the left and right subtrees count.
Pseudo Code
int diameterOfBinaryTree(TreeNode root) {
if( root is null){
return 0
}
int overallNodeMax = 0
// for post order traversal
Stack nodeStack
// to store the height against each node
Map nodePathCountMap
nodeStack.push(root)
while(nodeStack is not empty){
TreeNode node = nodeStack.peek()
if(node.left is not null and not (nodePathCountMap has node.left)){
nodeStack.push(node.left)
}
else
if(node.right is not null and not(nodePathCountMap has node.right)){
nodeStack.push(node.right)
}
else
{
TreeNode rootNodeEndofPostOrder = nodeStack.pop()
int leftMax = nodePathCountMap[rootNodeEndofPostOrder.left]
int rightMax = nodePathCountMap[rootNodeEndofPostOrder.right]
int nodeMax = 1 + max(leftMax,rightMax)
nodePathCountMap.put(rootNodeEndofPostOrder,nodeMax)
overallNodeMax = max(overallNodeMax,leftMax + rightMax )
}
}
return overallNodeMax
}
Complexity Analysis
Time Complexity: O(n), since we must visit each node.
Space Complexity: O(n), due to stack and map used.
Critical Ideas to Think

If you have any more approaches or you find an error/bug in the above solutions, please comment down below.
Happy Coding! Enjoy Algorithms!
AfterAcademy Tech
Given a binary tree, write a program to find the maximum depth of the binary tree. The maximum depth is the number of nodes along the longest path from the root node to the leaf node. A leaf is a node with no child nodes.

AfterAcademy Tech
Given a binary tree, invert the binary tree and return it. An inverted form of a Binary Tree is another Binary Tree with left and right children of all non-leaf nodes interchanged. You may also call it the mirror of the input tree.

AfterAcademy Tech
Given a binary tree, write a program to find the lowest common ancestor (LCA) of two given nodes in the tree. The question is asked previously in Amazon, Facebook, Adobe and requires an understanding of tree data structure.

AfterAcademy Tech
Given a binary tree and a sum, write a program to determine if the tree has a root-to-leaf path such that adding up all the values along the path equals the given sum.Its an easy problem based on Binary tree traversal and a famous interview question
